← ST-Computer 11 / 1991

Formelsatz mit TeX - oder: WYGIAYN (What You Get Is All You Need)

Grundlagen

Oft handelt es sich bei der Schreibarbeit am Computer um die Erstellung lÀngerer Dokumente, die evtl, sogar veröffentlicht werden sollen. Da hierbei einiges benötigt wird, was eine normale Textverarbeitung nicht bereitstellt, löst man solche Aufgaben am besten mit sog. Textsatz- oder Formatierungsprogrammen.

Eines der wohl leistungsfĂ€higsten Programme dieser Art ist TeX. Es existiert fĂŒr die unterschiedlichsten Computersysteme und arbeitet nach dem Prinzip eines Compilers. Man erzeugt mit seinem Lieblingseditor einen ASCII-Text, der von TeX dann zu einem perfekt gesetzten Dokument ĂŒbersetzt wird.

Die Arbeit zur Erzeugung von Inhalts-, Literatur- und Abbildungsverzeichnissen oder zur Erstellung von Seiten- und FormelnummerbezĂŒgen wird dabei vom Programm selbstĂ€ndig erledigt. Dabei berĂŒcksichtigt TeX Regeln, die seit Gutenberg von professionellen Layoutern verfeinert und festgelegt wurden. TeX ist also nicht mit einer Schreibmaschine, sondern eher mit einer Druckerei zu vergleichen.

Naturwissenschaftler, die Studien-, Diplom- oder Promotionsarbeiten zu erstellen haben, wissen ein Lied davon zu singen, wie arbeitsintensiv die Erstellung von Formeln innerhalb eines Textes sein kann. Entweder man benutzt seine Lieblingstextverarbeitung und trĂ€gt die Formeln nachtrĂ€glich mit Hilfe einer Schablone ein, oder man investiert einiges an Zeit, um mit dem WYSIWYG-Verfahren das GewĂŒnschte zu erzeugen. Nach Murphy’s Law wird ĂŒbrigens beim Seitenumbruch diese Arbeit wieder zunichte gemacht, da die Seite genau auf dem Bruchstrich getrennt wird. An eben dieser Stelle beweist TeX eine seiner StĂ€rken. Mathematische Formeln können nicht nur perfekt gesetzt werden, sondern TeX weiß auch, daß diese Gebilde beim Seitenumbruch gesondert behandelt werden mĂŒssen. Durch diese und viele andere FĂ€higkeiten ist TeX ein optimales Instrument zur Erstellung von lĂ€ngeren Texten.

Um diejenigen, die TeX noch nicht kennen, neugierig zu machen, möchte ich anhand einiger Beispiele auf eine besondere StÀrke des Programmes hinweisen.

Formelsatz

Wie schon erwĂ€hnt, erstellt man seinen Text im ASCII-Format und lĂ€ĂŸt ihn dann von TeX in das gewĂŒnschte Dokument ĂŒbersetzen. Um dem Programm mitzuteilen, welche Textabschnitte als Formel gesetzt werden sollen, schließt man sie in sog. Umgebungen ein. Dies erreicht man z.B. mit den Befehlen:

\begin {displaymath} Formeltext \end{displaymath}

was eine vom Text abgesetzte Formel ergibt, oder mit den Befehlen

\begin{math} Formeltext \end{math}

welche dafĂŒr sorgen, daß die Formel innerhalb der laufenden Textzeile gesetzt wird.

Wer seine Formeln fortlaufend numerieren möchte, erreicht dies mit der Umgebung:

\begin{equation} Formeltext \end{equation}

Gibt man seiner Formel mit \label{Name} einen Namen, kann man im laufenden Text mit \ref{Name} BezĂŒge auf die entsprechende Formelnummer herstellen, ohne sie vorher zu kennen. Dies ist eine große Arbeitserleichterung beim nachtrĂ€glichen EinfĂŒgen von Formeln, da TeX selbstĂ€ndig sĂ€mtliche Nummern und NummernbezĂŒge Ă€ndert.

Wer jetzt allerdings enttĂ€uscht ist ĂŒber die Notwendigkeit, Befehle lernen zu mĂŒssen, sollte trotzdem weiterlesen, da man die Tipparbeit auch verkĂŒrzen kann. Zum einen hĂ€lt das zu TeX gehörende Makropaket LaTeX einige AbkĂŒrzungen bereit, zum anderen kann man ja die Funktionstasten seines Editors mit den wichtigsten Befehlen belegen.

Weitere sehr nĂŒtzliche Tips dazu stehen ĂŒbrigens in der ST-Computer 4/91 ‘Tempus fĂŒr TeX und Fortran’.

Wer mit den AbkĂŒrzungen $ 3+b=5 $ eine Textformel, oder mit $$ x-y=5 $$ eine abgesetzte Formel erzeugt, wird schnell feststellen, daß TeX bzw. LaTeX Zahlen (Konstanten) in der Schriftart ‘roman’ und Buchstaben (Variablen) in der Schriftart ‘italic’ setzt, was ĂŒbrigens einem weltweiten Standard entspricht.

Mathematisches

SelbstverstĂ€ndlich lĂ€ĂŸt sich mit TeX eine Vielzahl von Sonderzeichen darstellen. Befindet man sich innerhalb einer mathematischen Umgebung, erhĂ€lt man z.B. das griechische Alphabet durch Ausschreiben der gewĂŒnschten Symbole, mit einem vorangestellten ‘/’ (\alpha, \beta, \gamma usw.).

Beginnt der Symbolname mit einem Großbuchstaben, erhĂ€lt man den entsprechenden griechischen Großbuchstaben (\Delta, \Theta, \Omega usw.).

Hoch- und Tiefstellungen fĂŒr jeweils ein Zeichen erreicht man durch Voranstellen von ‘^’ und ‘’. Dabei werden Exponenten durch ‘^’ und Indizes mit ‘’ erzeugt. Möchte man mehrere Zeichen hoch- oder tiefstellen, setzt man das GewĂŒnschte in geschwungene Klammern ‘_{max}'.

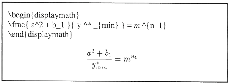
Die eigentlichen StĂ€rken des Formelsatzes werden aber beim Erzeugen von BrĂŒchen oder Wurzeln deutlich. TeX weiß selbst, wie lang der Bruchstrich sein muß bzw. wie das Wurzelzeichen zu dimensionieren ist. Kurze BrĂŒche, die innerhalb einer Textzeile gesetzt werden sollen, trennt man einfach mit einem ‘/’, bei abgesetzten BrĂŒchen dagegen verwendet man den Befehl:

\frac{ ZĂ€hler }{ Nenner }

Hat man eine Funktionstaste mit dem Befehl belegt, muß man nur noch die Klammem fĂŒr den ZĂ€hler und den Nenner ausfĂŒllen. Dabei ist es TeX egal, ob man jedes Zeichen in eine Zeile schreibt oder ĂŒberhaupt keine Leerzeichen verwendet (siehe Beispiel 1).

Das Erzeugen von Wurzeln in der richtigen GrĂ¶ĂŸe ist Ă€hnlich einfach. FĂŒr eine Quadratwurzel benötigt man lediglich den Befehl:

\sqrt{ }

Wurzeln höherer (n-ter) Ordnung erhÀlt man durch:

\sqrt[n]{ }

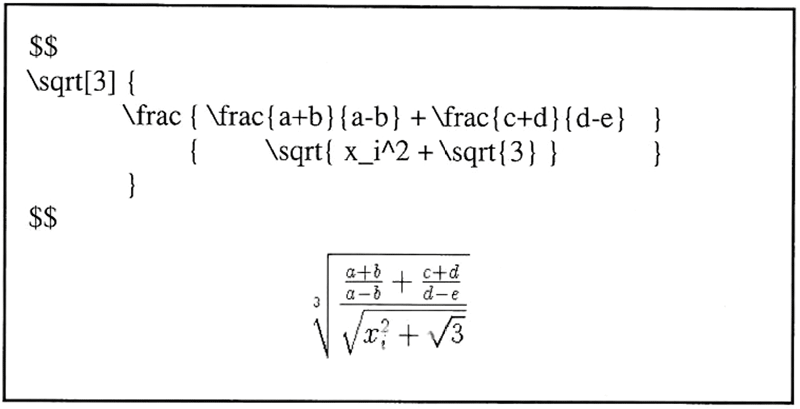
Richtig interessant wird es aber, wenn man die Befehle fĂŒr BrĂŒche und Wurzeln in beliebige Tiefe schachtelt (siehe Beispiel 2).

Man beachte, daß TeX fĂŒr die BrĂŒche im ZĂ€hler des Hauptbruches eine kleinere Schriftart wĂ€hlt.

Beispiel 1
Beispiel 2
Beispiel 3
Beispiel 4

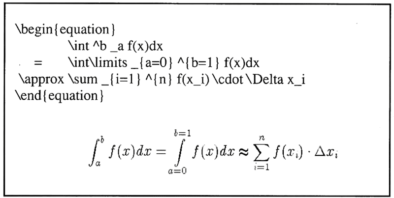
Summen- und Integralzeichen

Die Befehle fĂŒr ein Summen- oder Integralzeichen sind leicht zu merken, sie lauten:

\sum bzw. \int

Möchte man die Summations- bzw. Integrationsgrenzen dazuschreiben, benutzt man wieder ‘^’ fĂŒr die obere und ‘_’ fĂŒr die untere Grenze. FĂŒr Hoch- und Tiefstellungen mehrerer Zeichen gilt das gleiche wie bei lĂ€ngeren Exponenten oder Indizes.

Bei der Plazierung der Grenzen ist jedoch folgendes zu beachten. Handelt es sich um eine Textformel, werden die Grenzen rechts neben das jeweilige Symbol geschrieben. Handelt es sich um eine ab-gesetzte Formel, landen die Grenzen ĂŒber und unter dem Summenzeichen, jedoch ebenfalls rechts vom Integralzeichen. Möchte man dies Ă€ndern, verwendet man fĂŒr die Integrationsgrenzen den Befehl:

\int\limits^b_a

Wer jetzt verwirrt ist, kann sich anhand von Beispiel 3 Klarheit verschaffen.

Es wĂŒrde den Rahmen dieses Artikels sprengen alle von TeX bzw. LaTeX bereitgestellten Symbole und Formatierungsmöglichkeiten aufzuzĂ€hlen. Denjenigen, die mit allen Möglichkeiten dieses Programmes richtig arbeiten wollen, empfehle ich das Buch von Helmut Kopka [1] oder die Kurzbeschreibung von Hubert Parti, diejederTeX-Version beiliegen sollte.

Matrizen und Vektoren

Wie ich schon gezeigt habe, lassen sich die Befehle zur Erzeugung von BrĂŒchen und Wurzeln beliebig schachteln. Eine weitere SpezialitĂ€t von TeX ist die Formatierungshilfe fĂŒr Tabellen. Diese wird in der mathematischen Umgebung zum leichten Setzen von Vektoren oder Matrizen benutzt.

Man teilt TeX dazu lediglich mit, wieviel Spalten die Matrix bekommen soll und wie die Zeichen innerhalb der Spalten angeordnet werden sollen (1 linksbĂŒndig, r rechtsbĂŒndig, c zentriert),

Um drei Spalten zu bekommen, in denen zentriert angeordnet wird, benötigt man innerhalb einer mathematischen Umgebung lediglich den Befehl:

\begin{array} {ccc}

Die notwendige Spaltenbreite ermittelt TeX anhand des breitesten Spalteneintrages selbstĂ€ndig. Von Spalte zu Spalte gelangt man mit ‘&’ und eine Zeile wird mit ‘\Y abgeschlossen. Die letzte Zeile der Matrix wird allerdings nicht mit ‘\Y abgeschlossen, sondern mit

\end{array}

OK, hier wird es jetzt etwas schwieriger, aber Beispiel 4 sollte fĂŒr Durchblick sorgen.

$$ \begin {array} {ccccc} \left( \begin {array}{c} v_1(p)\\ v_2(p)\\ \vdots \\ v_n(p) \\ \end {array} \right)& = & \left( \begin{ array} {c} p_1(x)\\ p_2(x)\\ \vdots \\ p_n(x)\\ \end{array} \right)& \cdot & \left( \begin{array}{cccc} d_{ 1,1} & d_{ 1,2} &\ldots & d_{1,n} \\ d_{ 2,1} & d_{ 2,2} &\ldots & d_{2,n} \\ \vdots & \vdots & \ddots & \vdots \\ d_{n,1} &djn,2} &\ldots & d{n,n} \\ \end {array} \right) \end{ array} $$
Beispiel 5

Siehe Gleichung \ref{test} ).

\begin{eqnarray} h^3\:-\: \underbrace{\frac{ 12\cdot\bar U\cdot\eta} {dp/dx}}_{ p’} \cdot h \:+\: \underbrace{\frac{ 12\cdot\bar U\cdot\eta\cdot h_0} {dp/dx}}_{ q’ } \:=\:0 \label {test} \end {eqnarray}

Siehe Gleichung (2)

Beispiel 6
\psi = \arccos \left( \frac{ -\frac{ q' }{ 2 } }{\sqrt{\left(\frac{|p’|}{3}\right)^3 } }\right) $$
Beispiel 7
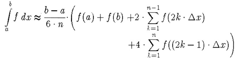
\begin{eqnarray} \begin {array}{11} \displaystyle \int\limits_a^b f(x) dx \approx \quad \displaystyle \left. \frac {b - a} {6 \cdot n} \cdot \right( f(a) + f(b) & \displaystyle + 2\cdot\sum_{k=1}^{n-1} f(2k\cdot\Delta x)\\ & \left. \displaystyle + 4\cdot\sum_{k=1}^n f((2k-1) \cdot \Delta x ) \right) \end {array} \end{eqn array}
Beispiel 8

In Beispiel 5 möchte ich noch zeigen, wozu eine geschachtelte ‘array’-Umgebung in der Lage ist. Die Befehle ‘\left(‘ und ‘\right)’ sorgen ĂŒbrigens fĂŒr die runden Klammern in der richtigen GrĂ¶ĂŸe.

Wie schon gezeigt, bestimmt TeX die LĂ€nge von Bruchstrichen und Wurzeln selbstĂ€ndig. Daß die GrĂ¶ĂŸe von Klammern von TeX ebenfalls selbstĂ€ndig ermittelt wird, wird anhand der Beispiele 7 und 8 deutlich, in denen die Befehle ‘\left(‘ und ‘\right)’ fĂŒr unterschiedlich große Klammem sorgen.

Die FĂ€higkeit, LĂ€ngen selbstĂ€ndig zu ermitteln kommt auch bei dem Befehl ‘\underbrace{ Bereich }_{ Name }' zum Einsatz. Mit ihm kann man einen Bereich mit einer Klammer unterlegen und ihm einen Namen zu weisen.

In Beispiel 6 wird auch deutlich, was notwendig ist, um FormelbezĂŒge zu erstellen.

Auf einige Besonderheiten in Beispiel 8 sollte ich noch hinweisen. Die Befehle fĂŒr eine linke und eine rechte Klammer mĂŒssen immer paarweise erfolgen. Da die linke Klammer in Beispiel 8 allein innerhalb einer Formatspalte steht, kann man sich mit ‘\left.’ und ‘\right(‘ helfen, da durch ‘\left.’ kein Zeichen gesetzt wird.

Mit dem Befehl ‘\display style’ wird innerhalb einer Formel Umgebung eine grĂ¶ĂŸere Schriftart gewĂ€hlt, und die Befehle ‘\quad’ sowie ‘:’ sorgen fĂŒr zusĂ€tzliche AbstĂ€nde zwischen den Zeichen.

Abschließend bleibt mir noch zu sagen, daß dies natĂŒrlich nur ein kurzer Einblick in die Möglichkeiten der Text- und Formelgestaltung mit TeX war. Neben dem leistungsstarken Formelsatz hat das Programm noch viele andere FĂ€higkeiten. Evtl, sind ja einige Leser neugierig geworden und fragen sich, warum sie dieses Programm noch nicht besitzen, und was es wohl kosten mag.

In diesem Fall gibt es noch die unglaublich gute Nachricht, daß TeX als Public Domain- bzw. Shareware-Programm zu erhalten ist und somit den Geldbeutel nicht beutelt. Eine Version gibt es gleich ein paar Seiten weiter in der PD-Abteilung und eine bei Stefan Lindner [2].

Wer erst einmal etwas vertraut geworden ist mit TeX, wird sich ganz leicht von seiner WYSIAYG (What You See Is All You Get)-Textverarbeitung trennen können.

Literatur:

[1] Helmut Kopka, „LaTeX - Eine EinfĂŒhrung“, Addison-Wesley, ISBN 3-89319-199-2

[2] Stefan Lindner, Iltisstraße 3, W-8510 FĂŒrth

Uwe Reusche